|
Wissenschaftliche Dienstleistungen / Statistik
QM-Konzepte, Auswertungen, automatisierte Jahresberichte
Regelwerke für Schnittstellen: Sicherung der Datenqualität
Benchmark / Konzept «RehabNET -Benchmark»
Statistik, Ähnlichkeitsberechnung Organisationen
(Klicken Sie auf das von Ihnen gewünschte Thema)
QM-Konzepte, Auswertungen, automatisierte Jahresberichte
- Individuelle Konzeption von QM-Projekten
- Mitarbeit bei Nationalen QM-Projekten
- Projektleitung, -betreuung und -beratung
- Recherchen und Abklärungen
- Einsatz von validierten Instrumenten
- Erstellen von Grafiken für Vorträge und Publikationen
|
|
|
|
- Aufbereitung, statistische Auswertungen und Interpretation von Daten, Jahresberichte und Publikationen
- Statistische Workshops für Spitex-Verantwortliche: "Vergleichsdaten" interpretieren
- Generieren "automatisierter Auswertungen" mit Kenndaten je Leistungserbringer im Vergleich mit ähnlichen Leistungserbringern
|
|
|
Regelwerke für Schnittstellen: Sicherung der Datenqualität
- Überwachung der Datenqualität, Datenbereinigung Plausibilitätstests
- Regelwerke für Schnittstellen, Datenprüfung, Fehlermeldungen
- Entwicklung von Funktionen, um Plausibilität von grossen Datensätzen effizient prüfen zu können
|
|
 |
Konzept «RehabNET -Benchmark»
- Benchmarking nach dem Konzept «RehabNET -Benchmark» für den Vergleich von Score-Verbesserungen (Bild rechts)
- Benchmark (Individuelle Vergleiche) Spitex-Betriebe im Kanton Zürich
|
|
Grössere Ansicht dieses Konzeptes: Auf Bild klicken!
|
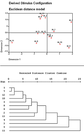
Statistik, komplexe Auswertungen
- Benchmark ist sinnvoll, wenn Gleiches mit Gleichem verglichen wird.
- RehabNET definiert pro Projekt, mit welchen Eigenschaften die zu vergleichenden Betriebe beschrieben werden können.
- Datenaufbereitung und multivariate Analysen erlauben dann, die Ähnlichkeit von Betrieben zweidimensional darzustellen.
- Die Ergebnisse von zwei Analysen zur Ähnlichkeit (Bilder rechts) kombiniert man in eine einzige Grafik, damit die Organisationen die Ähnlichkeiten leichter interpretieren können.
- Organisationen können sich dann bezüglich unterschiedlichsten Kennwerten mit solchen Organisationen vergleichen, welche der eigenen Organisation relativ ähnlich sind.
- Einsatz von «Multidimensional Scaling (MDS)»: Erklärungen zu MDS (Wikipedia)
|
|
|
|
«Ähnlichkeits-Abbildung» Spitex Betriebe
Beispiel einer «Ähnlichkeits-Abbildung»: Ähnlichkeit von Spitex-Betrieben aufgrund von "Struktur-Variablen" aus der BfS Statistik 2017. Diese «Ähnlichkeits-Abbildung» ist als HTML-Formular "online implementiert" und steht den Betrieben in einem geschützten Bereich jederzeit zur Verfügung.
|
|
Grössere Ansicht dieser Demo: Auf Bild klicken!
|
|